类风湿性关节炎(RA)是一种系统性炎症性疾病,若不及时治疗,会导致功能障碍、慢性疼痛和较高的死亡率。甲氨蝶呤(MTX)是常用的一线治疗药物,因其安全性和有效性得到广泛认可。然而,部分患者对MTX反应不佳或无法耐受其副作用,因此需要寻找替代治疗方法。乌帕替尼(Upadacitinib)是一种Janus激酶(JAK)抑制剂,已在SELECT RA临床项目中广泛评估。本文旨在评估乌帕替尼单药治疗相对于MTX单药治疗在初治MTX患者中的长期疗效和安全性。

本研究为SELECT-EARLY III期临床试验的长期扩展部分,研究对象为中重度活动性RA患者,分为接受乌帕替尼15 mg或30 mg单药治疗组和MTX单药治疗组。未达到临床缓解且关节症状改善<20%的患者在第26周接受救援治疗(乌帕替尼组加用MTX,MTX组加用乌帕替尼)。疗效评估持续5年,通过持续单药治疗和随机组的非响应者插补法(NRI)进行分析。治疗期间的治疗相关不良事件(TEAE)按每100患者年计算。
研究结果
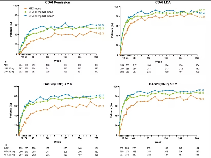
在945名随机和治疗的患者中,775名(82%)完成了48周并进入长期扩展研究。5年间,乌帕替尼组较MTX组更高比例的患者持续达到疾病活动目标。在观察分析中,53%/59%的患者在第260周达到临床疾病活动指数(CDAI)缓解,相较于MTX组的43%。NRI分析显示,第260周乌帕替尼组在CDAI、DAS28(CRP)和ACR反应方面均优于MTX组(所有比较,名义P<.001)。乌帕替尼治疗在第260周对结构性关节进展的抑制作用也优于MTX。乌帕替尼30 mg组的不良事件发生率较高,包括严重感染、带状疱疹和肌酸磷酸激酶(CPK)升高等。乌帕替尼在5年内的安全性特征与早期试验结果和综合III期安全性分析一致。

5年内达到CDAI、DAS 28(CRP)疾病活动状态和布尔缓解(AO)的患者比例
总之,在整个5年试验期间,乌帕替尼在RA患者中的临床反应优于MTX。乌帕替尼30 mg组的不良事件发生率较高,尤其是严重感染、带状疱疹和CPK升高。对于初治MTX的患者,乌帕替尼15 mg作为单药治疗显示出较好的长期疗效和总体良好的风险收益比。这些发现支持美国食品药品监督管理局和欧洲药品管理局批准的15 mg每日剂量的使用。
